Panadol for children

Panadol for children pack shot

Nothing is more effective for children’s fever and pain1-4#*

Children’s Panadol contains paracetamol, which international guidelines recommend for the treatment of pain and fever in children.  It can start to reduce fever in 15 minutes 5-7*and is gentle on children’s stomachs.8,9† Unlike ibuprofen, paracetamol can be used from 1 month of age.10-12

Chart adapted from the World Health Organization guidelines on fever management in children

The World Health Organization guidelines on fever management state that when a child presents with fever, danger signs should be looked for. These include an inability to drink, persistent vomiting, convulsions, lethargy or unconsciousness, stridor in a calm child or severe malnutrition. If these signs are present, the patient must be referred immediately for specialist management.13

The symptomatic fever, associated with distress due to non-specific respiratory infections, diarrhoea and other infections, is managed with paracetamol.14

Chart showing reduction of temperature after paracetamol. Adapted from Wong et al. 2001.

This was a randomised, double-blind multicentre trial involving febrile children aged 6 months to 6 years who were given a dose of paracetamol (acetaminophen) 12 mg/kg (n=210). A downward slope in temperature was seen at the 15-minute time point. Maximal rate of temperature reduction was reached at 60 minutes in the paracetamol group.6

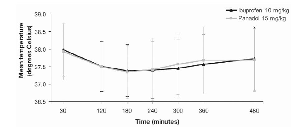
Chart showing the reduction of temperature in children given paracetamol 15 mg/kg or ibuprofen 10 mg/kg. Adapted from Autret-Leca et al. 2007

A randomised, single-dose, double-blind study in children from 3 months to 12 years old (N = 301) with non-serious fever received either paracetamol 15 mg/kg or ibuprofen 10 mg/kg. Mean temperature in both groups were 38.9°C at baseline. Primary outcome was tympanic temperature reduction over the following 8 hours post first dose administration.

Both paracetamol 15 mg/kg and ibuprofen 10 mg/kg had similar (not significant) reductions in temperature. The mean area under the curve (AUC) was -7.66°C and -7.77°C, respectively.1

Effective pain relief in children11

Chart showing significant pain relief from paracetamol vs. placebo as assessed by children and their parents. Adapted from Schactel et al. 1993.

This was a randomised, single-dose, double-blind, placebo-controlled study in children aged 2-12 years with acute sore throat treated with paracetamol 15 mg/kg, ibuprofen 10 mg/kg or placebo. Paracetamol showed significant pain relief vs. placebo from 1-hour post dose, which was sustained until 4 hours after dosing based on the children’s assessment of their pain. The parents’ assessment of changes in pain intensity seen in their children reflected the same.3

Unsurpassed suitability amongst over-the counter children’s analgesics^

Happy child with his mother

Unlike ibuprofen, paracetamol is suitable from just 1 month of age.10-12 It’s gentle on children’s stomachs,8,9†  has fewer drug-drug interactions than ibuprofen,11,15 and is not contra-indicated for children with dehydration.16

What can Panadol for children do for Ollie?

Baby smiling

Ollie’s got a fever

Ollie is 1 years old and has had a fever for the past two days. Though he is taking fluids, his mum is worried because he has been fussy and not eating well. She wants something to help reduce the fever that will be suitable for him.

Panadol Children 1-5 years old Colourfree Suspension can help Ollie feel better by quickly and effectively reducing his fever.11

Panadol for children comes in different formulations

Children’s Panadol 1 month-1 year Baby Drops pack shot

Children’s Panadol 1 month -1 year Baby Drops

Children’s Panadol 1-5 years Colourfree Suspension pack shot

Children’s Panadol 1-5 years Colourfree Suspension

Children’s Panadol 5-12 years Elixir pack shot

Children’s Panadol 5-12 years

Children’s Panadol 5-12 years Colourfree Suspension pack shot

Children’s Panadol 5-12 years Colourfree Suspension

Children’s Panadol 3+ years Chewable Tablets pack shot

Children’s Panadol 3+ years Chewable Tablets

Children’s Panadol 7+ years Chewable Tablets pack shot

Children’s Panadol 7+ years Chewable Tablets

Children’s Panadol 6 months-5 years Suppository pack shot

Children’s Panadol 6 months-5 years Suppository

Panadol for children product details

  • Children’s Panadol 1 month-1 year Baby Drops pack shot

    Children’s Panadol 1 month -1 year Baby Drops

    Ingredients: Paracetamol 100 mg/ml.

    Also includes excipients: macrogol 400, Glycerol, Saccharin sodium, Sodium chloride, Vanilla 054468 T7, Sodium citrate, Citric acid – anhydrous, Methyl hydroxybenzoate, Cherry 51849 T7, Propyl hydroxybenzoate, Water – purified

    Special warnings and precautions for use

    Contains paracetamol. Do not use with any other paracetamol- containing products. The concomitant use with other products containing paracetamol may lead to an overdose.

    Paracetamol overdose may cause liver failure which may require liver transplant or lead to death.

    Underlying liver disease increases the risk of paracetamol-related liver damage, Patients who have been diagnosed with liver or kidney impairment must seek medical advice before taking this medication.

    Cases of hepatic dysfunction/failure have been reported in patients with depleted glutathione levels, such as those who are severely malnourished, anorexic, have a low body mass index, are chronic heavy users of alcohol or have sepsis.

    In patients with glutathione-depleted states the use of paracetamol may increase the risk of metabolic acidosis.

    If symptoms persist, medical advice must be sought.

    Paracetamol should be used with caution in patients with:

    • liver function: underlying liver disease increases the risk of paracetamol-related liver damage
    • impaired kidney function: administration of paracetamol to patients with moderate to severe renal impairment may result in accumulation of paracetamol conjugates

    Children’s Panadol 1 month-1year colourfree drops contain methyl and propyl hydroxybenzoates that may cause allergic reactions (possibly delayed).

    Contraindication

    Hypersensitivity to paracetamol or any of the excipients.

  • Children’s Panadol 1-5 years Colourfree Suspension pack shot

    Children’s Panadol 1-5 years Colourfree Suspension

    Ingredients: Paracetamol 24 mg/ml

    Also includes excipients: maltitol solution, sorbitol solution (70 per cent) (crystallising), water – purified, xanthan gum, nipasept sodium, strawberry flavour L10055, imitation candied sugar 510155U, malic acid and citric acid – anhydrous.

    Special warnings and precautions for use

    Contains paracetamol. Do no use with any other paracetamol-containing products. The concomitant use with other products containing paracetamol may lead to an overdose.

    Paracetamol overdose may cause liver failure which may require liver transplant or lead to death.

    Underlying liver disease increases the risk of paracetamol-related liver damage, Patients who have been diagnosed with liver or kidney impairment must seek medical advice before taking this medication.

    Cases of hepatic dysfunction/failure have been reported in patients with depleted glutathione levels, such as those who are severely malnourished, anorexic, have a low body mass index, are chronic heavy users of alcohol or have sepsis.

    In patients with glutathione-depleted states the use of paracetamol may increase the risk of metabolic acidosis.

    If symptoms persist, medical advice must be sought.

    Paracetamol should be used with caution in patients with:

    • liver function: underlying liver disease increases the risk of paracetamol-related liver damage
    • impaired kidney function: administration of paracetamol to patients with moderate to severe renal impairment may result in accumulation of paracetamol conjugates

    Children’s Panadol colourfree suspension 1 – 5 Years contains maltitol and sorbitol liquid. Patients with rare hereditary problems of fructose intolerance should not take this medicine. Contains 135 mg/mL sorbitol (old formulation), 115 mg/mL sorbitol (new formulation).

    Contraindication

    Hypersensitivity to paracetamol or any of the excipients.

    Side effects:

    Body system

    Undesirable effect

    Blood and lymphatic system disorders

    Thrombocytopenia

    Immune system disorders

    Anaphylaxis

    Cutaneous hypersensitivity reactions including among others, skin rashes, angioedema, Steven Johnson syndrome and toxic epidermal necrolysis

    Respiratory, thoracic and mediastinal disorders

    Bronchospasm in patients sensitive to aspirin and other NSAIDs

    Hepatobiliary disorders

    Hepatic dysfunction

  • Children’s Panadol 5-12 years Elixir pack shot

    Children’s Panadol 5-12 years

    Ingredients: Paracetamol 48 mg/ml

    Also includes excipients: glycerol, water – purified, macrogol 1500, sorbitol solution (70 per cent) (crystallising), propylene glycol, allura red AC, saccharin sodium, benzoic acid, imitation candied sugar 510155U, potassium sorbate and raspberry flavour 21820.

    Special warnings and precautions for use

    Contains paracetamol. Do no use with any other paracetamol-containing products. The concomitant use with other products containing paracetamol may lead to an overdose.

    Paracetamol overdose may cause liver failure which may require liver transplant or lead to death.

    Underlying liver disease increases the risk of paracetamol-related liver damage, Patients who have been diagnosed with liver or kidney impairment must seek medical advice before taking this medication.

    Cases of hepatic dysfunction/failure have been reported in patients with depleted glutathione levels, such as those who are severely malnourished, anorexic, have a low body mass index, are chronic heavy users of alcohol or have sepsis.

    In patients with glutathione-depleted states the use of paracetamol may increase the risk of metabolic acidosis.

    If symptoms persist, medical advice must be sought.

    Paracetamol should be used with caution in patients with:

    • liver function: underlying liver disease increases the risk of paracetamol-related liver damage
    • impaired kidney function: administration of paracetamol to patients with moderate to severe renal impairment may result in accumulation of paracetamol conjugates

    Children’s Panadol elixir 5 – 12 years contains140 mg/mL sorbitol. Patients with rare hereditary problems of fructose intolerance should not take this medicine.

    Contraindication

    Hypersensitivity to paracetamol or any of the excipients.

    Side effects:

    Body system

    Undesirable effect

    Blood and lymphatic system disorders

    Thrombocytopenia

    Immune system disorders

    Anaphylaxis

    Cutaneous hypersensitivity reactions including among others, skin rashes, angioedema, Steven Johnson syndrome and toxic epidermal necrolysis

    Respiratory, thoracic and mediastinal disorders

    Bronchospasm in patients sensitive to aspirin and other NSAIDs

    Hepatobiliary disorders

    Hepatic dysfunction

  • Children’s Panadol 5-12 years Colourfree Suspension pack shot

    Children’s Panadol 5-12 years Colourfree Suspension

    Ingredients: Paracetamol 48 mg/ml

    Also includes excipients: maltitol solution, sorbitol solution (70 per cent) (crystallising), avicel RC – 591, xanthan gum, orange flavour LM-908, artifical candied sugar flavour 510352A, sodium methyl hydroxybenzoate, saccharin sodium, citric acid – anhydrous, sodium propyl hydroxybenzoate, polysorbate 80 and water – purified.

    Special warnings and precautions for use

    Contains paracetamol. Do no use with any other paracetamol-containing products. The concomitant use with other products containing paracetamol may lead to an overdose.

    Paracetamol overdose may cause liver failure which may require liver transplant or lead to death.

    Underlying liver disease increases the risk of paracetamol-related liver damage, Patients who have been diagnosed with liver or kidney impairment must seek medical advice before taking this medication.

    Cases of hepatic dysfunction/failure have been reported in patients with depleted glutathione levels, such as those who are severely malnourished, anorexic, have a low body mass index, are chronic heavy users of alcohol or have sepsis.

    In patients with glutathione-depleted states the use of paracetamol may increase the risk of metabolic acidosis.

    If symptoms persist, medical advice must be sought.

    Paracetamol should be used with caution in patients with:

    • liver function: underlying liver disease increases the risk of paracetamol-related liver damage
    • impaired kidney function: administration of paracetamol to patients with moderate to severe renal impairment may result in accumulation of paracetamol conjugates

    Each Children’s Panadol colourfree suspension 5 – 12 years contains maltitol and sorbitol liquid. Patients with rare hereditary problems of fructose intolerance should not take this medicine. Contains 371 mg/mL sorbitol (old and new formulations).

    Contraindication

    Hypersensitivity to paracetamol or any of the excipients.

    Side effects:

    Body system

    Undesirable effect

    Blood and lymphatic system disorders

    Thrombocytopenia

    Immune system disorders

    Anaphylaxis

    Cutaneous hypersensitivity reactions including among others, skin rashes, angioedema, Steven Johnson syndrome and toxic epidermal necrolysis

    Respiratory, thoracic and mediastinal disorders

    Bronchospasm in patients sensitive to aspirin and other NSAIDs

    Hepatobiliary disorders

    Hepatic dysfunction

  • Children’s Panadol 3+ years Chewable Tablets pack shot

    Children’s Panadol 3+ years Chewable Tablets

    Ingredients: Paracetamol 120 mg/tablet

    Also includes excipients: mannitol, sodium saccharin, D&C red lake 27, D&C red lake 30, stearic acid, maize starch and cherry flavour.

    Special warnings and precautions for use

    Contains paracetamol. Do no use with any other paracetamol-containing products. The concomitant use with other products containing paracetamol may lead to an overdose.

    Paracetamol overdose may cause liver failure which may require liver transplant or lead to death.

    Underlying liver disease increases the risk of paracetamol-related liver damage, Patients who have been diagnosed with liver or kidney impairment must seek medical advice before taking this medication.

    Cases of hepatic dysfunction/failure have been reported in patients with depleted glutathione levels, such as those who are severely malnourished, anorexic, have a low body mass index, are chronic heavy users of alcohol or have sepsis.

    In patients with glutathione-depleted states the use of paracetamol may increase the risk of metabolic acidosis.

    If symptoms persist, medical advice must be sought.

    Paracetamol should be used with caution in patients with:

    • liver function: underlying liver disease increases the risk of paracetamol-related liver damage
    • impaired kidney function: administration of paracetamol to patients with moderate to severe renal impairment may result in accumulation of paracetamol conjugates

    Contraindication

    Hypersensitivity to paracetamol or any of the excipients.

    Side effects:

    Body system

    Undesirable effect

    Blood and lymphatic system disorders

    Thrombocytopenia

    Immune system disorders

    Anaphylaxis

    Cutaneous hypersensitivity reactions including among others, skin rashes, angioedema, Steven Johnson syndrome and toxic epidermal necrolysis

    Respiratory, thoracic and mediastinal disorders

    Bronchospasm in patients sensitive to aspirin and other NSAIDs

    Hepatobiliary disorders

    Hepatic dysfunction

  • 7+ Years Chewable Tablets

    Children’s Panadol 7+ Years Chewable Tablets

    Ingredients: Paracetamol 250 mg/tablet

    Also includes excipients: Sodium bicarbonate, Citric acid – anhydrous, Sodium carbonate anhydrous, Strawberry flavour permaseal 75051-31, Sorbitol, Aspartame, Saccharin sodium, Dimethicone 200, Povidone, Imitation candied sugar flavour 650122U, Sodium lauryl sulphate

    Special warnings and precautions for use

    Contains paracetamol. Do no use with any other paracetamol-containing products. The concomitant use with other products containing paracetamol may lead to an overdose.

    Paracetamol overdose may cause liver failure which may require liver transplant or lead to death.

    Underlying liver disease increases the risk of paracetamol-related liver damage, Patients who have been diagnosed with liver or kidney impairment must seek medical advice before taking this medication.

    Cases of hepatic dysfunction/failure have been reported in patients with depleted glutathione levels, such as those who are severely malnourished, anorexic, have a low body mass index, are chronic heavy users of alcohol or have sepsis.

    In patients with glutathione-depleted states the use of paracetamol may increase the risk of metabolic acidosis.

    If symptoms persist, medical advice must be sought.

    Paracetamol should be used with caution in patients with:

    • liver function: underlying liver disease increases the risk of paracetamol-related liver damage
    • impaired kidney function: administration of paracetamol to patients with moderate to severe renal impairment may result in accumulation of paracetamol conjugates

    Contraindication

    Hypersensitivity to paracetamol or any of the excipients.

    Side effects:

    Body system

    Undesirable effect

    Blood and lymphatic system disorders

    Thrombocytopenia

    Immune system disorders

    Anaphylaxis

    Cutaneous hypersensitivity reactions including among others, skin rashes, angioedema, Steven Johnson syndrome and toxic epidermal necrolysis

    Respiratory, thoracic and mediastinal disorders

    Bronchospasm in patients sensitive to aspirin and other NSAIDs

    Hepatobiliary disorders

    Hepatic dysfunction

  • Children’s Panadol 6 months-5 years Suppository pack shot

    Children’s Panadol 6 months-5 years Suppository

    Ingredients: Paracetamol 125 mg/suppository

    Also includes excipients: Hard fat.

    Special warnings and precautions for use

    Contains paracetamol. Do no use with any other paracetamol-containing products. The concomitant use with other products containing paracetamol may lead to an overdose.

    Paracetamol overdose may cause liver failure which may require liver transplant or lead to death.

    Underlying liver disease increases the risk of paracetamol-related liver damage, Patients who have been diagnosed with liver or kidney impairment must seek medical advice before taking this medication.

    Cases of hepatic dysfunction/failure have been reported in patients with depleted glutathione levels, such as those who are severely malnourished, anorexic, have a low body mass index, are chronic heavy users of alcohol or have sepsis.

    In patients with glutathione-depleted states the use of paracetamol may increase the risk of metabolic acidosis.

    If symptoms persist, medical advice must be sought.

    Paracetamol should be used with caution in patients with:

    • liver function: underlying liver disease increases the risk of paracetamol-related liver damage
    • impaired kidney function: administration of paracetamol to patients with moderate to severe renal impairment may result in accumulation of paracetamol conjugates

    Contraindication

    Hypersensitivity to paracetamol or any of the excipients.

    Side effects:

    Body system

    Undesirable effect

    Blood and lymphatic system disorders

    Thrombocytopenia

    Immune system disorders

    Anaphylaxis

    Cutaneous hypersensitivity reactions including among others, skin rashes, angioedema, Steven Johnson syndrome and toxic epidermal necrolysis

    Respiratory, thoracic and mediastinal disorders

    Bronchospasm in patients sensitive to aspirin and other NSAIDs

    Hepatobiliary disorders

    Hepatic dysfunction

Learn more

Educational resource

Educational resources

Access detailed clinical information about Panadol Children.

Find out more

Mother with baby

When to refer children with fever

Learn more about “red-flag” symptoms when children present with fever.

Learn more

Paracetamol chemical structure

The science of paracetamol

Learn more about paracetamol – the basics, its mechanism of action and more.

Learn more